Page 65 - MSU Digital Book
P. 65
�
่
�
�
่
�
ั
�
้
�
�
้
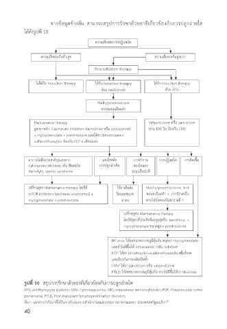
จากี่ขอมลขางต้น สามารู้ถ่สรู้ปกี่ารู้รู้กี่ษาดวยยาทำเกี่ยวของกี่บื้กี่ารู้ปลกี่ถ่ายไต้
่
้
ั
ได�ดงรู้้ปทำ 10
่
ั
�
่
ความเสยงต้อกี่ารู้ปฏิิเสธไต้
่
�
่
�
ั
ำ
�
ั
่
�
ู
ความเสยงรู้ะดบื้ต้า-ส้ง คืวิามเส่ยงระด้บ่ส่งมาก
Desensitization therapy
ั
ไมได�รู้บื้ induction therapy ได�รู้บื้ induction therapy ได�รู้บื้ induction therapy
่
ั
ั
ด�วย basiliximab ด�วย ATG
Methylprednisolone
ทำางหลอดเล้อดดา ำ
Maintenance therapy Valganciclovir หรู้้อ ganciclovir
้
ั
ั
ส้ต้รู้ยาหลกี่: Calcineurin inhibitors (tacrolimus หรู้้อ cycloporine) นาน 100 วน ปองกี่น CMV
ั
+ mycophenolate + prednisolone และให�ยา trimetroprim+
sulfamethoxazole ปองกี่น PCP 6 เด้อนแรู้กี่
้
ั
ั
็
ุ
์
่
ำ
ิ
�
อาการไมพิ่่งประส่งคืรนแรงจาก มะเรงหลูง การที่างาน การปฏิิเส่ธิไต การตด้เชีือ
่
่
Calcineurin inhibitors เชีน พิ่ษตอไต การปลููกถ่่ายไต ของไตแลูะ
ิ
hemolytic uremic syndrome ระบ่บ่อืนปกต ิ
�
�
เปลยนส้ต้รู้ Maintenance therapy โดยใช้ � ใช้ยาเดมต้อ ่ Methylprednisolone ทำาง
่
�
ิ
้
mTOR inhibitors (sirolimus, everolimus) + โดยลดขนาด หลอดเลอดดา ± กี่ารู้รู้กี่ษาอน
้
ั
�
ำ
่
mycophenolate + prednisolone ยาลง ต้ามโปรู้โต้คอลในต้ารู้างทำ 7
�
�
เปลยนส้ต้รู้ Maintenance therapy
่
ิ
ิ
�
�
โดยใช้ส้ต้รู้ทำปรู้ะสทำธผู้ลส้งส้ดค้อ tacrolimus +
่
mycophenolate ขนาดส้ง + prednisolone
้
ั
้
ิ
�
้
BK virus: ให�ลดขนาดยากี่ดภูมคมกี่น หยดยา mycophenolate
และถ่�าไมด่ขึนให� leflunomide, IVIG, cidofovir
�
่
PCP: ให�ยา trimetroprim+sulfamethoxazole เพ้�อรู้กี่ษา
ั
ั
้
และปองกี่นกี่ารู้กี่ลบื้เปนซ้า ำ �
็
ั
CMV: ให�ยา ganciclovir หรู้้อ valganciclovir
ั
PTLD: ให�ลดขนาดยากี่ดภูมคมกี่น หากี่ไมด่ขึนให�ยา rituximab
่
�
้
ิ
�
้
ั
�
่
�
่
ั
�
รปทำ 10 สรู้้ปกี่ารู้รู้กี่ษาด�วยยาทำเกี่่ยวข�องกี่บื้กี่ารู้ปล้กี่ถ่่ายไต้
ู
ATG, antithymocyte globulin; CMV, Cytomegalovirus; IVIG, intravenous immunoglobulin; PCP, Pneumocystis carinii
pneumonia; PTLD, Post-transplant lymphoproliferative disorders
ำ
ั
�
่
ั
ิ
ั
ั
ั
่
ทำมา : เอกี่สารู้กี่ากี่บื้ยาทำได�รู้บื้กี่ารู้รู้บื้รู้องจากี่สานกี่งานคณีะกี่รู้รู้มกี่ารู้อาหารู้และยา ปรู้ะเทำศึสหรู้ฐอเมรู้กี่า 16
ำ
�
40

